2020年拉萨市普通高考各类政策加分考生名单在这里!
文章来源:拉萨教育
发布日期:2020年05月27日 10:08 浏览:
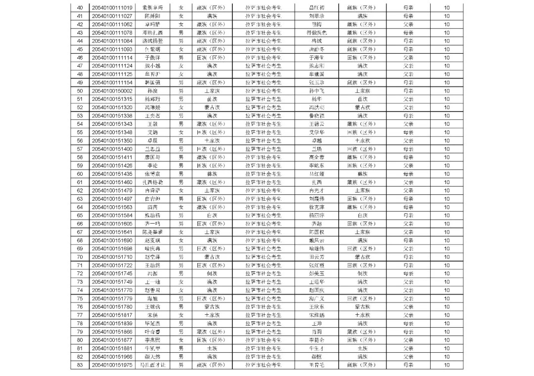
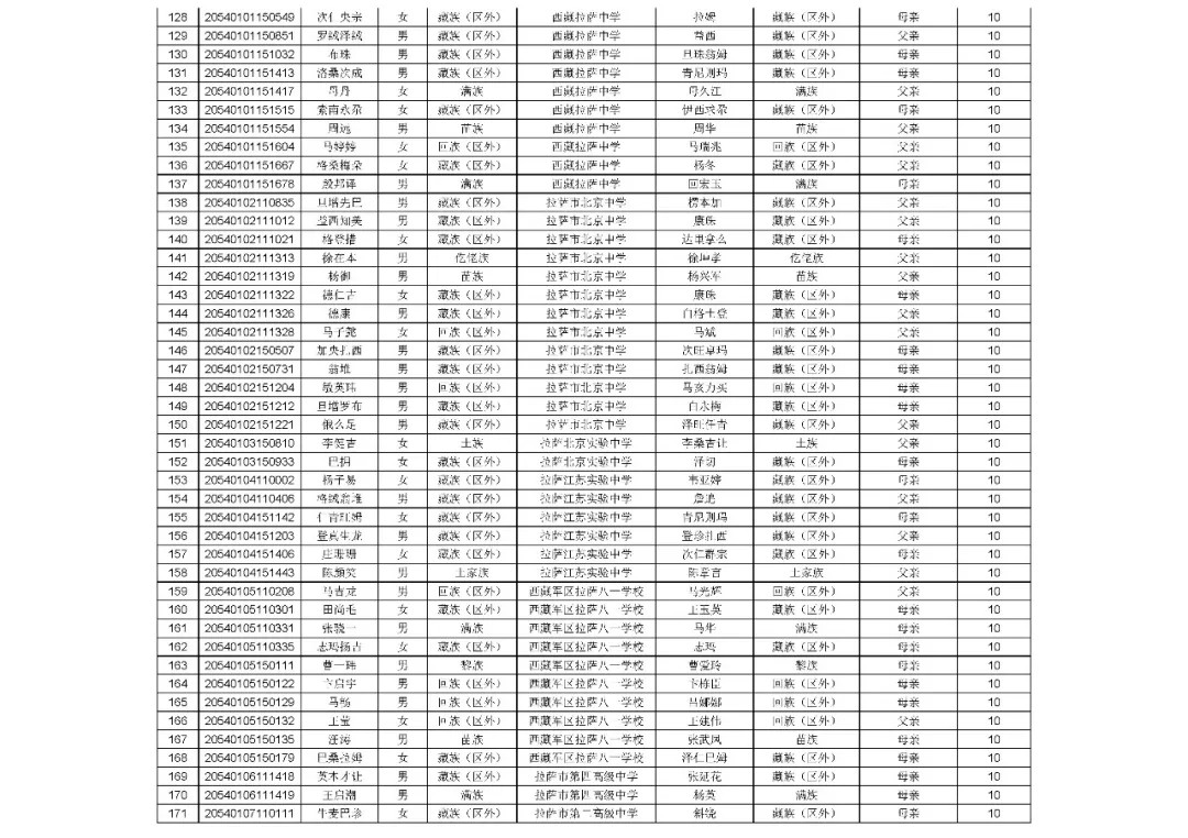
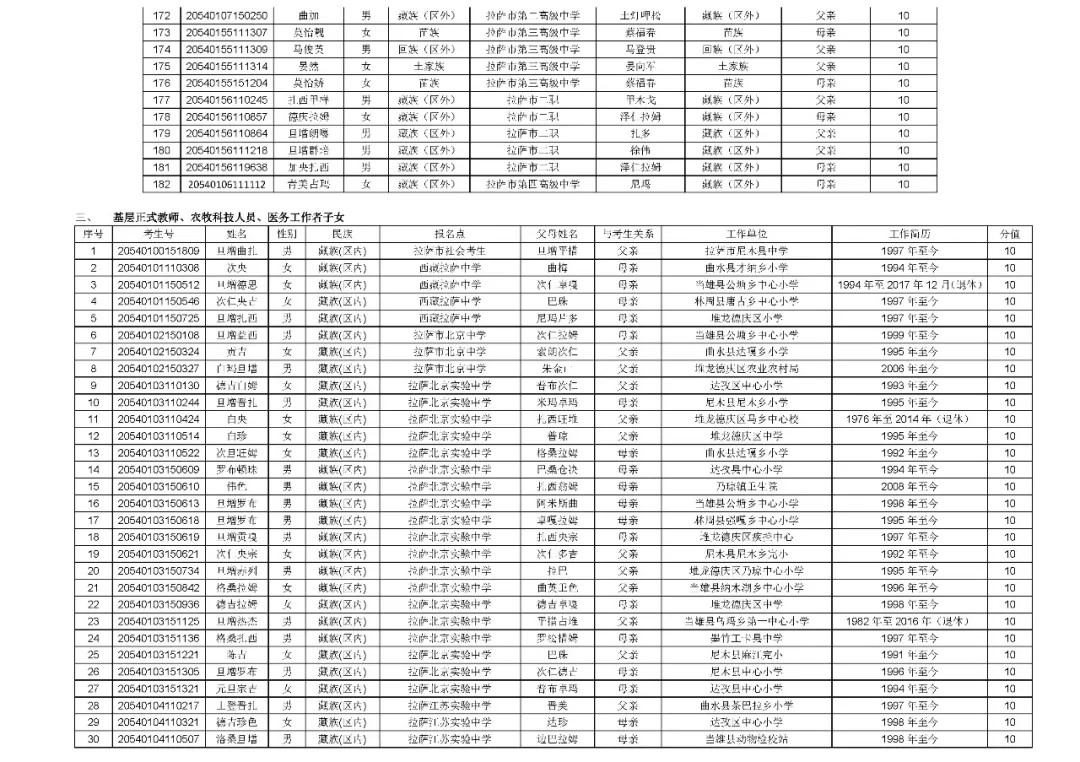
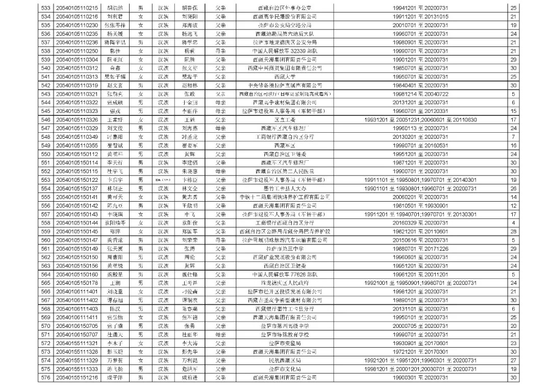
2020年西藏自治区普通高等学校招生全国统一考试享受照顾政策加分考生名单
拉萨市2020年高考报名信息确认和资格审查工作已顺利结束。为确保拉萨市高考工作公平公正、规范有序,按照《西藏自治区2020年普通高等学校招生规定》的要求,拉萨市招生办对9475名考生的报名材料进行资格审查,现将涉及各类政策加分的898名考生名单予以公示。1.公示日期:2020年5月27日——6月5日
2.举报电话:市纪委市监委驻市教育局纪检监察组08916325723
3.拉萨市招生办:08916375594
4.举报邮箱:3211347@qq.com




















责任编辑:德吉央宗
上一篇:
登“峰”测极,卫星3D看珠峰